作者a016258 (憨仔)
看板Grad-ProbAsk
標題Re: [理工] [工數]-級數公式推導
時間Wed Oct 27 15:19:18 2010
※ 引述《serflygod (serflygod)》之銘言:
: http://i215.photobucket.com/albums/cc91/serflygod/3a296de6.jpg
: 機率有用到這個公式去推出另一個公式
: 雖然想說背一背就好
: 可是它長得有點醜
: 怕背不起來QQ
: 懇請善心人士教我推導過程
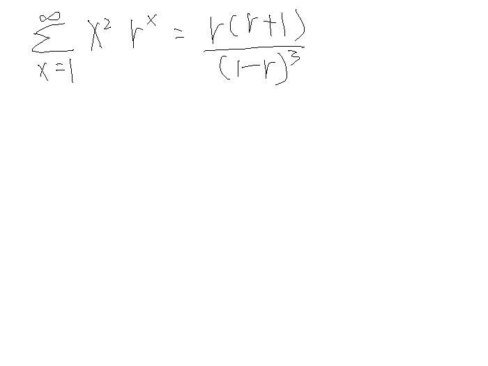
∞ 2 x ∞ 2 x-2 x-1
Σ x r = Σ r * x (x-1) r + r * x * r
x=1 x=1
=
∞ 2 x '' x '
Σ r * ( r ) + r * ( r )
x=1
2 r '' r '
= r ( ------ ) + r * ( ------- )
1- r 1- r
= ...
--
※ 發信站: 批踢踢實業坊(ptt.cc)
◆ From: 114.42.184.176
推 serflygod:感謝,我抄下來慢慢研究 10/27 17:20
推 serflygod:不好意思,()旁邊的''是什麼意思 10/27 18:05
→ a016258:微分 10/27 23:11