

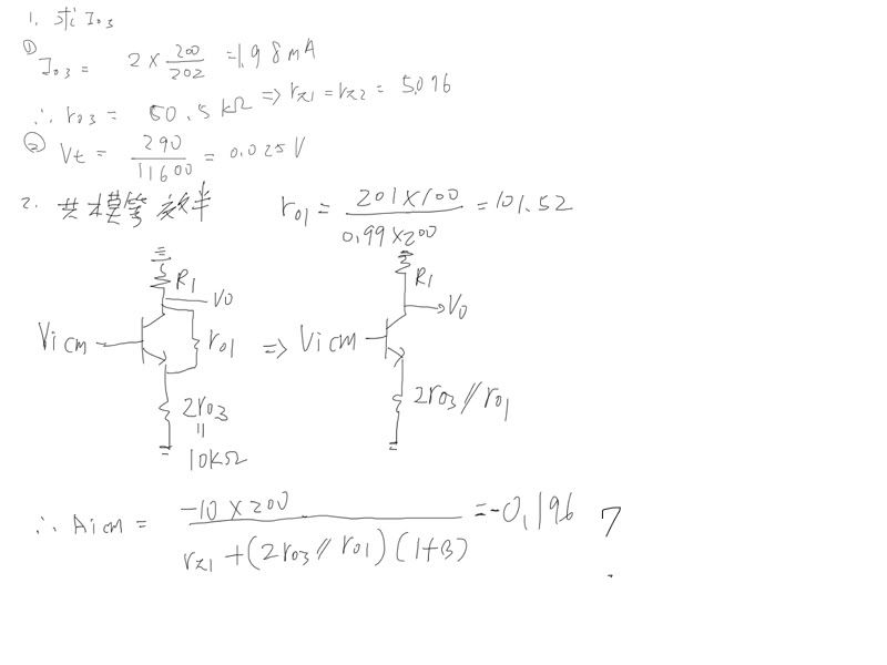
推 jamtu:把電流源的電阻視為無窮大就好了 11/25 17:01
→ jamtu:直接算gmR2-gmR1 11/25 17:02
→ jamtu:另外ro1不可以拆到ro3並聯,觀念錯誤... 11/25 17:03
→ jamtu:咦我搞錯了,原來是要算Acm 11/25 17:04
→ jamtu:若忽略ro1,且1/gm很小,放大倍率就分別是R1/ro3跟R2/ro3 11/25 17:05
→ jamtu:取差別就是1k/100k = 0.01 11/25 17:06
→ jamtu:若把ro1拆到ro3並聯會影響一點點 11/25 17:07
推 jamtu:你計算過程數字有錯再check一下 11/25 17:10
→ bulcas:ro1為什麼可以拆到跟ro3並聯? 11/26 14:02
→ bulcas:R1並不小耶 11/26 14:14
推 p23j8a4b9z:你上下兩電阻差很多才可以這樣等效 差不多有兩種方法 11/26 19:15
→ p23j8a4b9z:一是硬幹二是用米勒定理 應該還有個方法但我忘記了 11/26 19:15
→ bulcas:那個應該要用拍模型做Thevenin 然後用電源吸收等效 11/26 19:18
→ bulcas:ro1拆下來的條件是R1很小吧? 因為跨R1的壓降很小 可以近似 11/26 19:19
→ bulcas:接地 跟 1/gm可以近似接地的一樣 但是R1有10K 太大不能這 11/26 19:20
→ bulcas:樣吧? 可以請人幫我解答對錯嗎? 非常感謝!!! 11/26 19:20
推 jamtu:我認為不行 11/26 20:07
→ serflygod:感謝,我發現我的矛頓了,有算出來了,感謝耐心解釋的朋友 11/26 20:29