作者rr8r8r8r8tw (amp)
看板Math
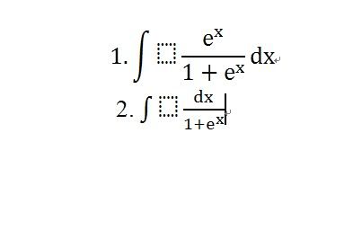
標題[微積] 自然指數積分題目問題
時間Mon Mar 7 00:33:07 2011
http://i754.photobucket.com/albums/xx185/rpd11140/other/ss.jpg
請教解法及答案,感謝
--
※ 發信站: 批踢踢實業坊(ptt.cc)
◆ From: 112.104.48.153
推 j0958322080 :那個框框要幹嘛 03/07 00:49
→ rr8r8r8r8tw :框框不裡他,積分符號是要靠過去的 03/07 00:52
推 kanonehilber:y=1+e^x dy=e^xdx 03/07 00:55