

推 planta: 其實這些東西你問一下AI他就幫你算出來了02/09 14:38
→ planta: 所以問題不在數學,而在心理學02/09 14:38
還是要給理工人一個creed,以防整天被低端語言‘’少子化‘’洗腦
※ 編輯: jinso7410 (27.53.154.187 臺灣), 02/09/2026 14:42:12
推 jonson: 一年都把房貸調整回當年房價的 80%,這難度多給餒02/09 14:39
→ jonson: 這難度多高餒,騙騙外行人可以啦02/09 14:40
→ jonson: 想騙社宅住到通透的人 太天真了 02/09 14:40
講白就是增貸
→ IBIZA: 這幾年頻繁辦轉增貸的應該不少02/09 14:42
沒錯
※ 編輯: jinso7410 (27.53.154.187 臺灣), 02/09/2026 14:42:37
→ IBIZA: 難度高在哪?02/09 14:42
囧森反串的,這樣想他的語言就合理多了XD
※ 編輯: jinso7410 (27.53.154.187 臺灣), 02/09/2026 14:45:09
→ planta: 通透跟裝傻還有反串,其實都是同一件事02/09 14:48
推 PTTMAXQQ: 對理工人來說這題目應該沒人不會解… 02/09 14:57
→ PTTMAXQQ: 也就是說…說很難的不是在反串就是在裝傻02/09 14:57
→ PTTMAXQQ: 除非他願意承認自己是白癡02/09 14:57
推 PTTMAXQQ: 其實真的不懂的人還能賺到錢的02/09 15:01
→ PTTMAXQQ: 應該就是靠信仰了,例如死多頭02/09 15:01
不懂數學靠信仰也可,但是不要信錯,比如少子化
噓 cloud3455: 對,所以次貸風暴的財務模型是鬼寫出來的02/09 15:03
次貸風暴沒記錯的話,是賣債權,一直包裝一直爽,但是全額後增貸買ETF沒問題吧,除
非WW3
※ 編輯: jinso7410 (27.53.154.187 臺灣), 02/09/2026 15:07:34
推 soulknight: 雷曼兄弟那個時候是故意知道有不良的債權,但還是故意02/09 15:06
→ soulknight: 買出來吧 02/09 15:06
→ cloud3455: 別說什麼極端情況不會發生,白銀都能一天掉30%了 02/09 15:06
→ cloud3455: 就是因為知道這些人可能還不出來,所以高利借他們,本 02/09 15:07
→ cloud3455: 來估算有還的人還是能填那些還不出來的錢,結果就爆了02/09 15:08
推 kusomanfcu: 雷曼那個台灣 有人搞事換標的 02/09 15:08
→ cloud3455: 資金鍊玩到倒的例子,已經多不勝數了。02/09 15:09
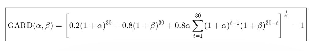
→ IBIZA: 這個圖房價沒有歸零 應該是只有頭期歸零02/09 15:10
對沒錯,因為台灣房市不用補保證金XD
→ IBIZA: cloud3455你在講三小02/09 15:11
※ 編輯: jinso7410 (27.53.154.187 臺灣), 02/09/2026 15:11:21
→ IBIZA: 這個圖就只是告訴你這樣的模式在不同區間ETF跟房價回報 02/09 15:11
→ IBIZA: 30年的回報是多少而已 02/09 15:11
→ IBIZA: 到底誰跟你說這個圖代表次貸風暴不會發生? 02/09 15:11
→ yourfans: 沒人說 買房 增貸 沒風險 但 對一般人來說 只要 算好 房 02/09 15:14
→ yourfans: 貸 沒有追繳問題 撐過去 就沒事 只怕 工作地點 倒閉 或 02/09 15:14
如果失業,每年扣房貸利息3%好了,整體GARD也不會下降3%這麼多
→ yourfans: 裁員 或 人怎麼了02/09 15:14
→ yourfans: 人所做的 一切 都是 機率問題 我們 想辦法 讓壞事 發生02/09 15:15
→ yourfans: 機率 低 好事 發生機率 高 就這子 應該啦 02/09 15:15
※ 編輯: jinso7410 (27.53.154.187 臺灣), 02/09/2026 15:19:23
噓 HisVol: 這模型沒有房貸利率?股市報酬率恆正?每期房貸還款的現金02/09 15:25
→ HisVol: 流怎麼來的? 02/09 15:25
利息就是居住成本,住免錢可以另外算,再來就是股房雙崩?這個只會出現WW3先不討論
,怕的話買點黃金正解
※ 編輯: jinso7410 (27.53.154.187 臺灣), 02/09/2026 15:27:53
噓 HisVol: 你這模型就是零借貸成本開1.8倍槓桿,用100元買180元的資 02/09 15:29
→ HisVol: 產 (100房80股),然後每年再平衡,結果你假設其中一種資產 02/09 15:29
→ HisVol: 只漲不跌,那當然槓桿越大越好 02/09 15:29
→ HisVol: 利息並非居住成本,台灣很多地方的房租報酬率比房貸利率低 02/09 15:31
→ HisVol: ,兩者是不同的指標,假設成一樣的會失真02/09 15:31
真要計利息也可,但結果差異一定不大,房價歸零都沒差了
※ 編輯: jinso7410 (27.53.154.187 臺灣), 02/09/2026 15:38:03
推 sfking: 想知道3-5年就轉增貸的結果 因為我本人就是打算這樣操作 02/09 16:27
→ sfking: 每年轉增貸實務上真的不好達成 02/09 16:27
推 PTTMAXQQ: 先當個銀行VVIP 02/09 16:32
→ PTTMAXQQ: 每年轉增貸不需要財力證明 02/09 16:32
→ PTTMAXQQ: 鑑價有空間即可增 02/09 16:32
推 yourfans: 綜觀 上面 大大 說的話 jo大 根本就懂 房子轉貸 的實況02/09 16:56
→ yourfans: 他是 反串仔 的機率 越來越高 02/09 16:56
推 bustinjieber: 這圖不錯 02/09 17:44
→ bustinjieber: 不過我相信很多人看不懂 02/09 17:44
推 jonson: 每一年辦,而且每一間房子都剛好八成辦好辦滿,簡單?泉02/09 18:09
其實,就算沒增貸買股,GARD也不會差太多,低調
※ 編輯: jinso7410 (27.53.154.187 臺灣), 02/09/2026 18:15:26
推 yourfans: 房子 etf 下大 抱住 很無聊的 總是 需要 來找架吵 02/09 19:47
→ yourfans: 安捏啦02/09 19:47
所以我懷疑 常駐房版空空 反串居多
※ 編輯: jinso7410 (27.53.154.187 臺灣), 02/09/2026 20:07:07
推 licklabium: 重要的是心理學,他們過不去自己想錯那一關 02/09 20:25
沒錯
※ 編輯: jinso7410 (27.53.154.187 臺灣), 02/09/2026 21:55:46
推 ajax4444: 今天才發現原來我離理工這麼遙遠 02/09 23:26
推 kusomanfcu: 轉貸費用阿02/09 23:37
轉貸費用加加進去嗎,那個太微直接忽略XD
※ 編輯: jinso7410 (27.53.154.187 臺灣), 02/10/2026 06:08:18
推 childeviler2: 出場啦,做了空,再買美債etf 02/10 09:44
→ cloud3455: 我講三小,看不懂去問你爸或你媽,我沒必要教你 02/12 15:53